Problems & Puzzles: Puzzles

Problem 75. The Castillo Toloza, Prime Counting Function, Q(x)

On October 23, 2020, Jonás Castillo Toloza sent to me by email a function of his own, in order to estimate the quantity
of primes up to certain integer x. Here you can see his original Q(x) function, that uses Greek letters.

Castillo Toloza claims that his Q(x) function:

"...Produce mejores resultados que cualquier fórmula o método viable, computacionalmente hablando,
...la aproximación de Riemann, R(x), por ejemplo... El error en mis aproximaciones es casi despreciable...

Además es fácil de programar..."

In order to avoid the use of Greek letters and to avoid the use of a mathematical expressions editor, I made some changes to show
you the same equation, Q(x):

 

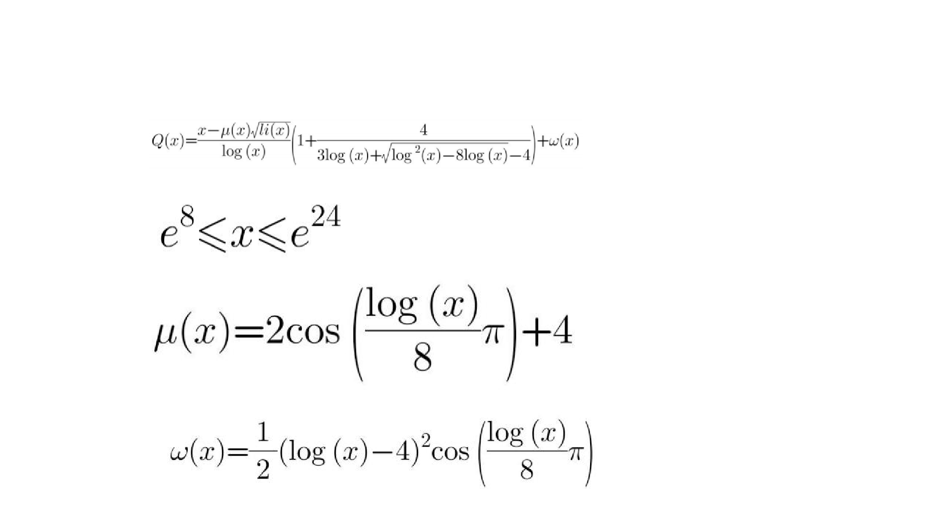
The Q(x) prime counting function

PI(x)= Quantity of primes less or equal to x.

Q(x) an estimation of PI(x), developed by Jonás Castillo Toloza.

Validity range, e^8<=x<=e24 (approx. 2980.9<=x<=2.6489x10^10).

 

Q(x) = C(x).{[x-U(x).raiz(li(x))]/ln(x)}+W(x)

 

C(x) = 1+4/{3.ln(x)-4+raiz[ln(x)^2-8.ln(x)]}

U(x) = 2.cos(pi.ln(x)/8)+4, pi=3.14159...

W(x)=(ln(x)-4)^2.(U(x)-4)/4

li(x)=Logarithmic integral ≈ (x/ln(x)).Σ(i!/ln(x)^i; i=0 to ∞)

 

How Castillo Toloza came up with this function, Q(x)? Here he explains that issue.

 

Due to health problems Castillo Toloza was not able to send his own calculations to support his claims about Q(x).

 

Carlos Rivera made his own calculations in an Excel worksheet, to compare Q(x) against R(x), bringing the external
necessary data from the proper web pages. This is what he found:

 

 

                    Comparación Q(x) vs R(x)
pi = 3.141592654         Dato ext 1     Dato ext 2   Dato ext 3  
E x=10^E ln(x) C(x) U(x) W(x) li(x) , Casio Q(x)   PI(x) Q(x)-PI(x) R(x)-PI(x) Q(x) mejor que R(x)
4 10000 9.21034037 1.14831387 2.22168863 -12.0692422 1,246.14 1225   1229 -4 -2 No
5 100000 11.5129255 1.10840596 3.61978092 -5.36527617 9,629.81 9588   9592 -4 -5 Si
6 1000000 13.8155106 1.08618827 5.30813518 31.507825 78,627.55 78535   78498 37 29 No
7 10000000 16.1180957 1.07169335 5.99784965 73.3451772 664,918.41 664649   664579 70 88 Si
8 100000000 18.4206807 1.06142802 5.16239133 60.4315723 5,762,209.38 5761501   5761455 46 97 Si
9 1000000000 20.7232658 1.05375792 3.43955511 -39.1845721 50,849,234.96 50847741   50847534 207 -79 No
10 10000000000 23.0258509 1.04780219 2.14456655 -167.908843 455,055,614.59 455052460   455052511 51 -1828 Si
  li(x), Casio = https://keisan.casio.com/exec/system/1180573428            
  PI(x) =  https://en.wikipedia.org/wiki/Prime-counting_function            
  R(x) - PI(x) = https://mathworld.wolfram.com/RiemannPrimeCountingFunction.html            

 

 

According to my own calculations, all I can say is that Q(x) is of the same order of size than R(x) in the range studied.

 

Q1. Would you like to confirm the comparison Q(x) vs R(x) made by Carlos Rivera?
Q2. In your opinion, does the Castillo's Q(x) function has some theoretical value?
Q3. Do you devise a way to extend the validity range of Q(x)?
 


Records   |  Conjectures  |  Problems  |  Puzzles